Heres an example of a formatted email cover letter.

resume teardown can you find the missing links what a front end developer needs on their resume resume software web developer resume cover letter for resume
Our front end software developer cover letter sample can help you put together your application so you can quickly land the job you want. It should provide an overview of your qualifications and experience, and showcase your best qualities. Directly address the requirements listed in the job.

27 web developer cover letter resume cover letter examples web developer cover letter creative writing programs
Back to cover letter samples. Front end developers are the liaison between designers and back end developers. They bring the designers concept to life through a mix of html, css and javascript.

front end developer resume example web developer resume resume examples resume template
Let employers know that you mean business, with a professional cover letter. Learn how to write a cover letter in our detailed guide. Web developers are experts at bringing a vision to life.

cover letter example letter example cover letter template application letter sample cover letter example resume cover letter examples letter example
A sample web developer cover letter to get you the frontend or backend job. Learn how to write a cover letter for webdev jobs with expert tips and examples. Web developer cover letter examples better than 9 out of 10 others.

fresh cover letters for academic jobs cover letter for resume sample resume cover letter resume cover letter examples
How to write a perfect cover letter for front end developers and back. Home » cover letter » cover letter examples » web development » front end developer. I have been a valuable asset as a front end developer for both microshift and kiwi using emerging technology to design websites and related materials.

resume front end developer objectivejob sample designer.

online resume ideas cover letter for resume resume templates cv template.

windows cover letter template cover letter template cover letter letter templates.

front end developer resume example resume examples job resume samples resume updating.

12 best front end developer resume examples ideas resume examples resume resume updating.

upwork proposal cover letter for data entry proposal cover writing a cover letter data entry.

12 best front end developer resume examples ideas resume examples resume resume updating.

front end developer resume example resume examples web developer resume web development.

front end developer resume example resume examples resume resume template.

resume template for word front end developer resume template etsy modern resume template resume template resume design template.

28 resume and cv templates ideas cv template resume resume cv.

stay at home returning to work cover letter 2017 applications applications for new and returning students accountant resume resume objective resume examples.

front end developer resume example web developer resume resume template resume examples.

15 pattern electronic mail for job software with resume email cover letter job application email writing.

executive resume ats friendly resume instant download etsy resume resume template resume design inspiration.

26 proper cover letter format descargar curriculum vitae plantillas curriculum descargar curriculum.

hr manager resume in 2020 resume examples resume skills resume.

cover letter australian tourist visa 1754 1240px visa request letter letter sample format and fre business letter template cover letter sample cover letter.

java full stack developer resume new 12 software developer resume sample s 2018 full stack developer cover letter for resume project manager resume.

front end developer resume example.
If you need to write a front end developer cover letter, our example can help you get started.
Feel free to use this example for reference as you create your own cover letter or use this easy cover letter builder that will guide you through every step of your building your cover letter in just a few minutes. Try to put together an engaging and informative front end developer cover letter that shows your ability to find candidates for clients. I am taking this opportunity to apply for the vacancy you advertised on the dayjob.com website for a front end developer.
I try to leave every bit of code i touch i really value the ability to not only perform web development work but also help others improve their craft, because ive gained so much from others. Writing a great web developer cover letter is an important step in your job search journey. In the same way that you might reference resume samples, the following web developer cover letter example will help you to write a cover letter that best highlights your experience and qualifications.
Why do front end developer cover letters matter? The cover letter is kind of a test for you. It tests to see whether you can craft a compelling narrative about structure of the front end developer cover letter.
The most effective and impact making cover letters consists of three core parts. Get modular web developer cover letter samples that make the phone ring. Write your cover letter for web developer jobs quickly, with expert tips and examples.
Heres the best web developer cover letter sample online. Its like a code library for your job search. Your cover letter is usually the first impression you make to the people at a company.
I came across your profile and feel with your background you would be a great fit for an exciting full stack developer position i have available with one of my top clients. Professional web developer cover letter sample from a real job application. / free 8+ web developer cover letter templates in ms word | pdf.
Provide training and technical assistance to page managers. Build prototypes at tech scoping stage of projects. Web developer cover letter reinforces your resume.
You have the skills and we have tricks on how to find the best jobs. Get cover letters for over 900 professions. Your cover letter should be.
The perfect web developer cover letter allows you to tell your unique personal and professional story. You can get these resume cover letter examples on the internet and you can also download them. If you want to get the illustrations in a template form, you may select one of the resume cover.
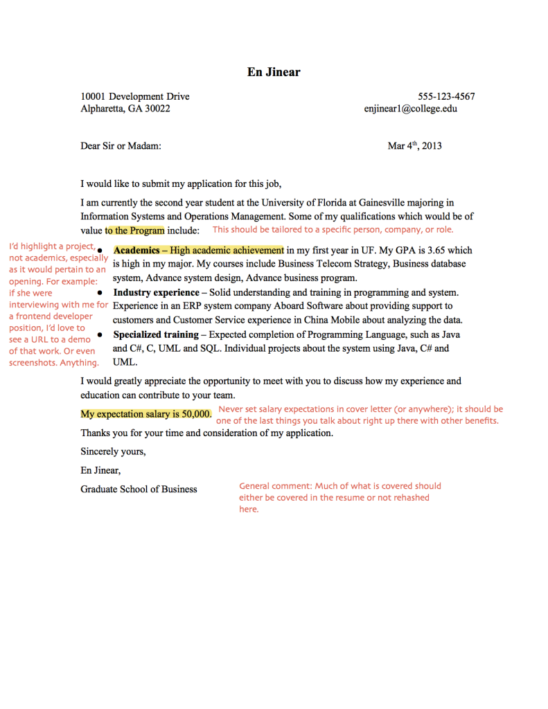
If you send your cover letter as an attachment, you can send it as either a pdf file or word document. Heres what else you need to you consider when crafting an email cover letter. Front end developer cover letter source:
When creating a formal or service letter, presentation design as well as layout is key to making a good first impression. Plus, scroll to see an example cover letter you could make use of to craft your own. Front end developer cover letter source: