A contractor pays their own tax and acc levies.

independent contractor contract sample free printable documents contractor contract contract template independent contractor
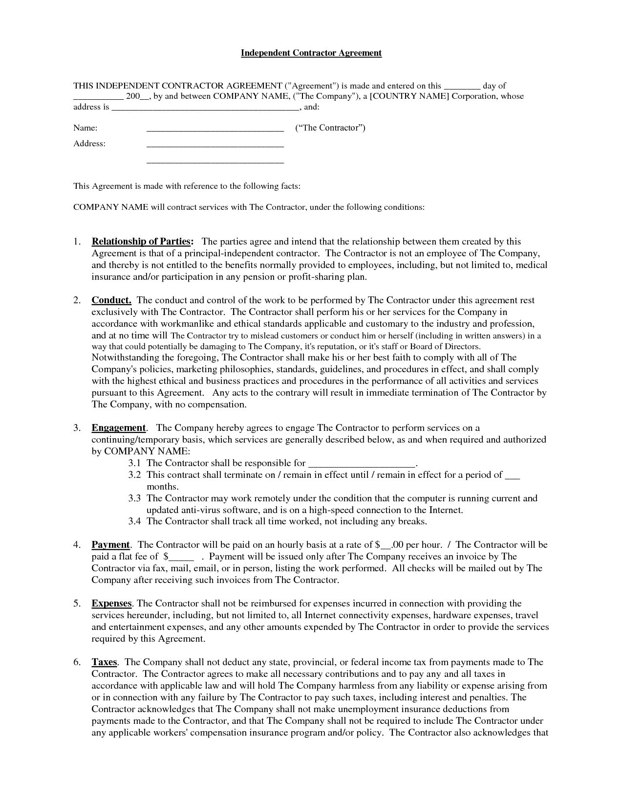
If you hire someone as a contractor when they are actually an employee, you may later be held liable for extra costs including eg: Since independent contractors are not employees the contractor is responsible for paying employment taxes, income taxes, social security, and insurance. If you classify an employee as an independent contractor and you have no reasonable basis for doing so, you may be held liable for employment taxes for that worker (the relief provisions, discussed below.

why you need to understand the difference between independent contractor self employed and employee n independent contractor contractors nurse practitioner
Whats the difference between a contractor and employee? The following are the three key factors that help differentiate — in the eyes of current uk law. Are covered by the employment act.

application for employment employment application job application employment form
Are employed for 14 days or more. This refers to the length of contract, not the number of days of work. What employers need to know.

what is a 1099 employee what is a 1099 employee independent contractor
Get employed as a freelancer by discussing the provisions of your work in a contract. Finalize your search for a new housekeeper by writing a suitable contract. A contractor, also known as an independent contractor, is a person or company that performs a task for someone else on a contractual basis and not as an employee.

log in freedomsoft independent contractor limited liability company real estate investing
When determining whether to classify workers as an employee or a contractor, consider when, where and how they do the work. There will be new laws enacted by the govt. Safeguarding contractor rights, such as minimum contract length, compulsory days off, sick pay etc.

pin on accounting.

independent contractor v employees independent contractor business tax hiring employees.

customizing you to your market general contractor estimate template resume.

contractor vs employee risks and rewards infographic via wunderland group independent contractor employee infographic contractors.

simple contract agreement simple contractor agreement template simple contract format by li contractor contract construction contract contract agreement.

independent contractor contract sample free printable documents contractor contract independent contractor contract.

free online invoice template of 55 free invoice templates heritagechristiancollege invoice template word invoice template invoice sample.

will your kids inherit your contracting business business strategy business advice business.

employment contract example contract contract template employment.

employee or independent contractor part 1 of 3 independent contractor staffing agency contractors.

pin on cover letter designs.

how to become a general contractor home improvement contractors remodeling business contractors.

truck driver contract agreement free printable documents contract agreement contract template contract.

employee letter of excessive absenteeism lettering cover letter design cover letter template.

9 eyes ideas contract template contract agreement work agreement.

explore our image of personal driver contract sample contract agreement contract template lease agreement.

truck driver contract agreement free printable documents contract agreement truck driver independent contractor.

independent contractor taxes it doesn t have to hurt that bad finances money smart money business tax.

pin on event templateshunter.

get our example of truck driver subcontractor agreement template contractor contract contract template construction contract.
Cant let a whole private pension economy just disappear.
A new type of contractor tax will be introduced and self employed ni will go up. In addition, an entity that uses the services of an independent contractor is not required to provide them with employment benefits, such as health. Whether the employee/contractor genuinely conducts their own enterprise as opposed to working in the business of the employer/principal.
An employee usually works as the employer directs them. A contractor runs their own business and provides a service, usually works the hours required to do a task, and has a high level of control over the way they work. But even these factors are not necessarily enough to determine whether someone.
An employment contract or contract of employment is a kind of contract used in labour law to attribute rights and responsibilities between parties to a a contract of employment is usually defined to mean the same as a contract of service.1 a contract of service has historically been distinguished from a. Unlike employees, who you split the tax burden with, when you pay a contractor you do. Our simple overview of contractors vs.
In many states, intentional misclassification of an employee as an independent contractor is a criminal offense that can have serious legal and financial consequences. The irs and other agencies determine which any agency may determine that you misclassified an employee as an independent contractor. They may also impose back taxes, fines, and penalties.
Get guidance on calculating what you should charge, collecting payment, preserving. Independent contractors are known as freelancers, consultants or simply contractors. For simplicity, this publication uses the term contractor to refer to all • may employ or subcontract others to do the work.