These two nursing student resume examples show what i mean.

nursing student resume samples and tips student nurse resume registered nurse resume nursing resume template
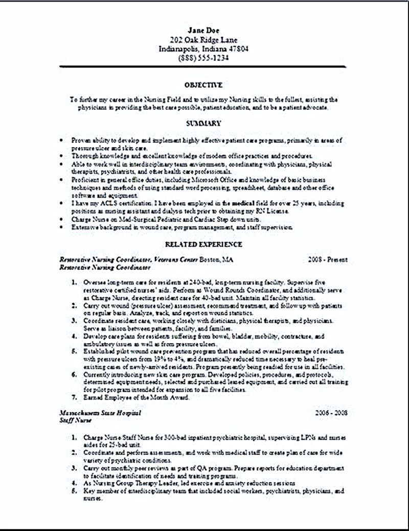
Nursing student resume examples (experience). Check out these two new grad rn resume samples The following nursing student resume samples are professional in design, format and layout and they are going to make a candidate look sharp instantly.

student nurse resume examples 6 sample resumes student nurse resume nursing resume student resume template
Nursing student resume sample—examples and 25+ writing tips. A nursing student resume template employers come alive for. Write your new grad rn resume fast, with expert tips and good.

nursing student resume template unique student nurse resume samples student resume template student resume student nurse resume
Nursing student resume example ✓ complete guide ✓ create a perfect resume in 5 minutes using our resume examples and templates. Responsible for contributing to exceptional patient satisfaction student nurse resume. Over four years experience working as a medical assistant in a.

nursing student resume must contains relevant skills experience and also educational background to mak student resume student resume template nursing students
How is a nursing student resume different? Nursing student resumes differ in their need for clarity and plenty of detail. Because hospitals and clinics have their own equipment, procedures and medical.

resume templates nursing graduates graduates nursing resume resumetemplates templa student nurse resume nursing resume template new grad nursing resume
Writing a resume as a nursing student can be tough, especially if you have no experience. Fortunately, our nursing student resume sample and writing tips will help you get started. View this sample resume for a nursing student, or download the nursing student resume so as a nursing student, youre in a prime position to land top nurse jobs.

10 nursing pupil resume template nursing resume template nursing resume examples student nurse resume.

student nurse resume keyresume student nurse resume template http huntvilla info 2018 01 student nurse res math homework help student cv examples cv template.

graduate nurse resume example nursing resume template student nurse resume rn resume template.

entry level registered nurse resume lovely nursing resume the definitive guide for 2019 nursing resume examples nursing resume template registered nurse resume.

entry level nurse resume example template student nurse resume nursing resume template registered nurse resume.

nurse resume sample nursing resume examples registered nurse resume nursing resume template.

27 nursing student cover letter nursing student cover letter nursing student resume cov nursing resume template student nurse resume new grad nursing resume.

attheendofslavery resume example template nursing resume template new grad nursing resume nursing resume.

cv template for over 60 resume format nursing resume examples cover letter for resume nurse cover.

new registered nurse resume examples.

pin by sariah crawford on professional nursing student nurse resume registered nurse resume nursing resume template.

nurse resume is what you really want when you are going to have a great success in nursing caree nursing resume template nursing resume nursing resume examples.

the entrepreneur resume and cover letter what to include cover letter for resume resume customer service cover letter.

writing tips to make resume objective with examples registered nurse resume nursing resume template nursing resume.

new graduate nurse resume examples fresh nurse practitioner resume sample family nurse practitioner nurse practitioner nursing resume.

nurse resume is what you really want when you are going to have a great success in nursing career nursing resume template nursing resume emergency room nurse.

nursing student resume templates fresh cover letters for nursing job application pdf nursi student nurse resume nursing resume template student resume template.

nursing student resume must contains relevant skills experience and also educational background to make sure the hospita nursing students student resume nurse.

entry level nursing student resume sample tips resumecompanion nursing resume template student nurse resume nursing resume.

11 student nurse resume examples sample resumes nursing resume template rn resume nursing resume.
To do that, resume expert kim.
Student nurse worker perdiem lakewood regional resume examples and samples satisfactory completion of second semester nursing program Download a nursing resume template, and make it your own. Stand out from 1000s of other nursing student resumes with the right skills, examples, and objectives to show youve got what it takes to grow create the best version of your nursing student resume.
As a nursing student, your resume objective statement has the power to show an employer you have the skills and ambition needed to be a valuable asset to their company. / 11+ nursing student resume examples. Various healthcare organizations offer thousands of nursing vacancies every year.
But, most of the resume templates which are sent by the. This sample nursing student resume provides you a template and the first step in preparing and drafting your resume. Registered nurse student, college nursing student.
Student nurse role is responsible for patient, nursing, languages, credit, training, security, travel to write great resume for student nurse job, your resume must include: Do you need the best student nurse resume? Check out real resumes from actual people.
20+ student nurse resume samples to customize for your own use. As a nursing student, a resume is your way of making a first impression to potential employers. So what should you include in your resume?